세종 자이더시티의
청약 일정 및 자세한 분양가격이 공개되었으니,
확인해보세요~
세종 자이더시티 청약일정 안내

세종 자이더시티는 지하2층~지상25층
24개동의 총 1350가구의 규모로
세종시에서는 가장 큰 규모이기 때문에
많은 관심을 가지고 있는 아파트 입니다.
세종 자이더시티의 청약 일정은 다음과 같습니다.


세종 자이더시티의 첫 청약일정은
7월 27일 특별공급을 시작으로 28일 1순위 청약,
29일 2순위 청약이 진행됩니다.
청약일정이 마무리 되고 난후,
세종 자이더시티의 당첨 발표는 8월 4일입니다.
그리고 세종 자이더시티의 입주 날짜는
2024년 7월로 예정되어있습니다.
세종 자이더시트는 1350가구지만,
전국에서 청약이 가능하기 때문에
굉장히 많은 사람들이 청약을 진행해서
엄청난 경쟁이 예상되는 곳입니다,
특히 세종시에서는 유례없던 1,100가구의 일반분양
물량이 쏟아지기 때문에
세종시는 물론 전국 각지의 예비청약자들의
관심을 받는 지역입니다.
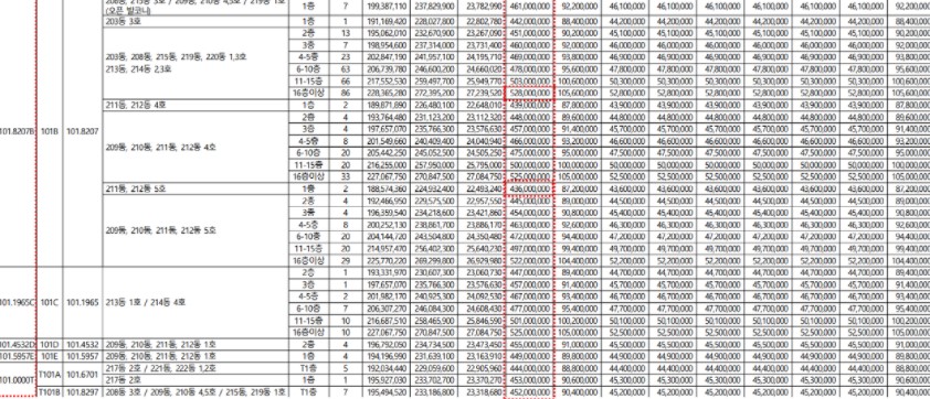
세종 자이더시티 분양가격





세종 자이더시티는 총 44개의 유형의 가구가
준비되어 있어서 분양가 또한 여러가지가 있습니다.
평당 1257만원을 시작으로 해서
다양한 세대 구조와 분양가가 형성되어있으며
일반공급 물랴의50%가 전국에서 청약이
가능하기 때문에 시세차익을 노리는
투기꾼들이 청약 경쟁율을 높이고 있습니다.
세종 자이더시티 분양의 계약금은 분양가의
20%이고 전매제한 기간은 일반공급이 4년,
특별공급이 5년 입니다.
세종자이더시티 평면도 안내
세종 자이더시티의 평면도는
역시 자이답게 매우 잘만들었다는 생각이 들게 합니다.
세종 자이더시티는 총 44개의 디자인으로 판상형,탑상형이 주력이지만
테라스하우스23세대,펜트하우스29세대도 있으며,
일부 복층형의 디자인도 있습니다.




세종 자이더시티 분양 및 청약 총정리
- 세종자이더시티는 전국 청약으로 경쟁이 심하다
- 서울과 세종시 주요거점으로 편리한 교통망이 있다
- 단지 앞에 초등학교와 유치원이 있는 학세권이다
- 프리미엄 라이프 스타일을 누릴수 있다.